Démontrer le théorème d'unicité de la mesure (corollaire du théorème de Dynkin/lemme de classe monotone).
Définir l'ensemble où les mesures coïncident.

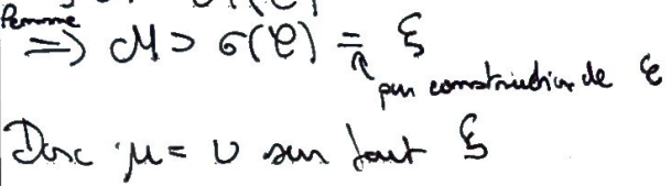
C'est une Classe monotone qui contient \(\mathcal C\).

Donc il contient la clase monotone engendrée par \(\mathcal C\).

Par Dynkin, ça coïncide donc sur tout \(\mathcal E\).
